CAS26412-87-3
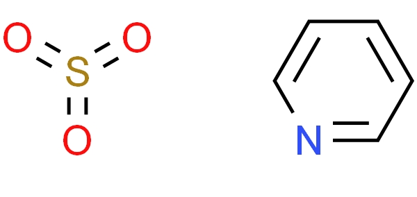
Le complexe trioxyde de soufre pyridine est le composé de formule C5H5NSO3. C'est un solide incolore qui se dissout dans les solvants organiques polaires. C'est le produit d'addition formé à partir de la base de Lewis, la pyridine, et du trioxyde de soufre acide de Lewis. Le composé est principalement utilisé comme source d'anhydride sulfureux, par exemple dans la synthèse d'esters sulfates à partir d'alcools :
ROH + C5H5NSO3 → [C5H5NH]+[ROSO3]−
C'est également un électrophile activateur dans une oxydation Parikh-Doering.
CAS : 26412-87-3
Chinese Name: Thiopidine trioxide
Chinese synonyms: compounds of thiopidine trioxide; sulfur trioxide-pyridine complex; Pyridine sulfur trioxide; Thiopidine trioxide; Thiopidine trioxide complex; Synthesis of thiophorine trioxide; Sulfur trioxide yridine complex; Sulfurtrioxypyridine complicated [2]
English name: Pyridine sulfur trioxide
English synonyms: Pyridine, compd.withsulfurtrioxide (1:1); Salfurtrioxidepyri-dinecomplex; Sulfurtrioxide,compd.withpyridine(1:1); (DIMETHYLAMINOMETHYL) STYRENE; VINYLBENZYLDIMETHYLAMINE; N,N-DIMETHYLVINYLBENZYLAMINE; POLY(4-VINYLPYRIDINE) SULFUR TRIOXIDE COMPLEX; N-(4-VINYLBENZYL)-N,N-DIMETHYL AMINE
Molecular weight: 159.16
EINECS number: 247-683-3
Mol file: 26412-87-3.mol
Pyridine sulfur trioxide complicated >97.0%
Intermediate of sodium sugar anhydride.
C'est généralement utilisé comme agent sulfonant, avec léger réponse et constant propriétés; Dans le discipline des produits biopharmaceutiques, c'est fréquemment utilisé comme un naturel agent oxydant et sulfatant.
Des réactifs de sulfonation spéciaux sont utilisés pour les réactions de sulfonation des furanes, des pyridines, etc.
Utilisé comme agent oxydant et sulfonant.
CAS : 26412-87-3



